7m足球完场比分

通知公告

7m足球完场比分

通知公告

当前您的位置: 主页 - 通知公告 - 正文

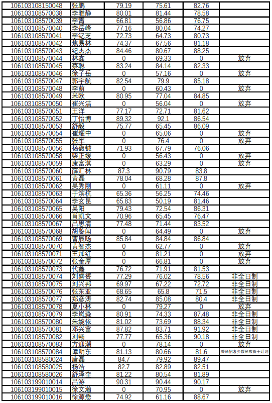
7m足球完场比分-7m足球情报 /水力学与山区河流开发保护国家重点实验室2023年 博士研究生招生复试成绩公示

7m足球完场比分2023-04-277m足球完场比分

image.png

image.png